文化与传媒学院(通识学院)
首页
学院概况
学院简介
教学团队
专业设置
学院动态
学院新闻
学院公告
学习体验
党团活动
教学空间
教学成果
学科竞赛
学子风采
下载专区
学校首页
招生服务
全站地图
学习体验
学习体验
党团活动
教学空间
教学成果
学科竞赛
学习体验
当前位置:
首页
>
学习体验
> 正文
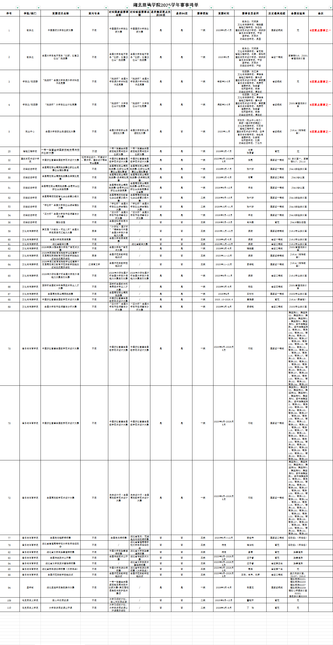
湖北恩施学院2025学年赛事清单
发布日期:2025-10-27
附件【
湖北恩施学院2025学年赛事清单.xlsx
】已下载
次